If you buy through our links, we may earn an affiliate commission. This supports our mission to get more people active and outside.Learn about Outside Online's affiliate link policy

A new study offers a compelling illustration of the effects of being born at altitude. (Photo: Westend61/Getty)
One of the nuggets that stuck with me from David Epstein’s 2013 book The Sports Gene was that the two fastest American marathoners at the time, Shalane Flanagan and Ryan Hall, both spent some of their formative years at altitude, in Boulder, Colorado, and Big Bear Lake, California, respectively. Anecdotes aren’t science, of course, but it was an interesting sidebar to Epstein’s discussion of the complex links between thin mountain air and endurance performance—especially since Flanagan moved at a young age to Massachusetts, at sea level.
A new study in Medicine & Science in Sports & Exercise offers a compelling illustration of the effects of being born at altitude. A team of researchers from five Spanish universities, coordinated by David Barranco-Gil of the Universidad Europea de Madrid, analyzed power meter data from 33 cyclists on three different pro teams, collected during training and races between 2013 and 2020. They wanted to see if there were differences between those born and raised at altitudes above 5,900 feet versus those born and raised closer to sea level, especially during mountain stages.
To do so, they constructed power profiles showing the highest power sustained for periods of 30 seconds, one minute, five minutes, and ten minutes. They repeated this analysis for different altitude ranges, in increments of 500 meters (1,640 feet).
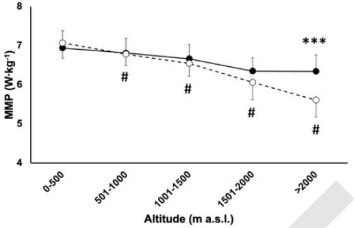
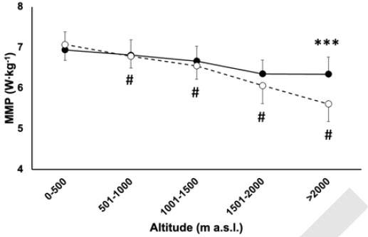
At the lowest altitudes, the 19 lowlanders (18 from Spain and Italy, one from the U.S.) and the 14 altitude natives (13 from Colombia and one from Ecuador) had pretty much the same power profiles. As the elevation increased, both groups saw declines in power output, but the decline was far more dramatic in the lowlanders, especially above 2,000 meters (6,500 feet).
Here’s what the power profile for five-minute efforts looked like, with altitude natives indicated by filled circles and lowlanders by open circles. The vertical axis shows best sustained power in watts per kilogram of bodyweight, and the horizontal axis shows altitude ranges from sea level to above 2,000 meters (6,500 feet). The profiles are very similar for 30 seconds, one minute, and ten minutes.

One thing to notice is that performance drops off even in the altitude range from 500 to 1,000 meters (1,640 to 3,280 feet). This may seem surprising, but it’s in keeping with research done in the 1990s at the Australian Institute of Sport in Canberra, which sits around 1,900 feet above sea level. When they were setting up the Institute, they were surprised to see lower-than-expected VO2 max readings from their elite athletes, and initially thought that the lab equipment must be miscalibrated. But they eventually ran some tests and found that aerobic performance really is mildly compromised at 1,900 feet, particularly in trained endurance athletes.
This low-altitude effect is a clue that there’s more going on with altitude natives than the boost in red blood cells that we usually focus on when discussing altitude training. The main hypothesis for why trained athletes are more likely to run into problems at relatively low altitudes is that their powerful hearts are pumping blood past the lungs so quickly that the blood doesn’t have time to pick up a full load of oxygen. This can be true even at sea level for some athletes, but it gets worse as soon as you go to altitude, where there’s less oxygen available.
One of the big differences between lowlanders and altitude natives is that the latter are able to maintain higher levels of oxygen in their blood during exercise at high altitudes: they’re better at getting whatever oxygen is available in the lungs to diffuse into the blood.
Teasing out why this happens is tricky, because there’s a mix of genetic factors (if your ancestors have lived in the mountains for countless generations, their genes have probably adapted to the conditions), environmental factors (if you live in the mountains right now, your body is adapting to the conditions, which is why elite athletes do altitude training), and developmental factors (the conditions you experienced in the womb and after birth program your development in certain ways).
It’s that last category that might—and this is wildly speculative—have had some influence on someone like Shalane Flanagan. Highlander natives tend to have bigger lungs with a larger surface area to facilitate the passage of oxygen from the lungs into the blood. That’s a function of where they’re born, and seems to be unchangeable after childhood. When researchers studied Peruvian Quechua highlanders living at sea level in Lima, those who’d been born in the highlands and then migrated to sea level as adults had higher oxygen levels during exercise than those who were born at sea level. The advantage wasn’t written in their genes: it was developmental.
With the elite cyclists in Barranco-Gil’s study, it’s impossible to fully tease out the respective contributions of genetic, environmental, and developmental factors. All the lowlanders took part in at least one altitude training camp per year, but a sub-analysis found no evidence that they were able to close the gap on the highlanders even in the weeks immediately following these camps. In other words, the evidence suggests that being born at altitude gives you a measurable advantage in high-altitude competition that you can’t erase by moving to the mountains. But if that seems demoralizing, look on the bright side: regardless of where your ancestors come from, you can still choose to confer this advantage on your kids.
For more Sweat Science, join me on Twitter and Facebook, sign up for the email newsletter, and check out my book Endure: Mind, Body, and the Curiously Elastic Limits of Human Performance.