If you buy through our links, we may earn an affiliate commission. This supports our mission to get more people active and outside.Learn about Outside Online's affiliate link policy

Endurance athletes have turned to baking soda to boost performance. (Photo: Courtesy Maurten)
It was a very fast Olympics. Half of the distance running events—six of the 12 men’s and women’s races between 800 meters and the marathon—saw new Olympic records. The newest supershoes had something to do with it, and the fancy new track probably did too. There’s also a new, more aggressive approach to racing that seems to be spreading. But there’s something else, too, according to Canada’s Marco Arop, whose silver medal performance in the 800 meters, a mere hundredth of a second behind Emmanuel Wanyonyi of Kenya, made him the fourth fastest man in history.
Just a week before the Olympics, Arop decided to try something new—something that he’d never tried before but that, according to an anonymous Olympic runner quoted in the Telegraph, at least 80 percent of elite runners are now using: sodium bicarbonate, better known as baking soda. “I figured if everybody else is using it…” Arop said in his post-race interview. “And it’s been working wonders.”
Of course, athlete anecdotes only go so far. Shaquille O’Neal swore that PowerBand bracelets made him a better basketball player. Last year, I wrote about the much-hyped launch of a new baking soda formulation from the Swedish company Maurten. Even before the launch, the company had already lined up an impressive roster of athlete believers: cyclist Primož Roglič, speedskater Nils van der Poel, mountain running legend Kilian Jornet, track stars Joshua Cheptegei and Keely Hodgkinson, and many more. But there was a notable lack of scientific evidence that Maurten’s pricey ($70 for four servings) formulation works any better than the regular boxes of Arm & Hammer you get at the grocery store.

That changed during the Olympics—not because of the scorching performances by Arop and others, but because researchers finally published a randomized, double-blind, placebo-controlled trial supporting Maurten’s claims. In the European Journal of Applied Physiology, a team at Edge Hill University in Britain led by Eli Spencer Shannon presented data showing a 1.4 percent boost for cyclists in a 40-kilometer time trial, which works out to a gain of roughly a minute over the course of an event lasting an hour.
The question has never been whether baking soda boosts performance. There’s a long line of evidence dating back at least to the 1980s suggesting that it works. The traditional explanation was that hard exercise produces lactic acid, and baking soda is a base that counteracts that rising acidity. These days, the understanding has shifted: it’s hydrogen ions that interfere with muscle contractions, and baking soda helps pull them out of the muscle cells and neutralize them. There are other possible mechanisms, too—but the bottom line is that it works.
The problem is that straight baking soda is also famously hard on the digestive system, causing bloating, cramps, diarrhea, and other performance-harming effects. For decades, that was the deal with the devil that athletes had to contemplate: a possible edge in return for a possible bout of the runs. Some found they could handle it; most opted not to chance it. Maurten’s solution involves encasing micro-pills of baking soda in a soup-like hydrogel that shepherds the active ingredient straight through the sensitive stomach into the intestine before releasing it, avoiding gut upset.
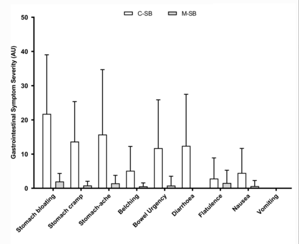
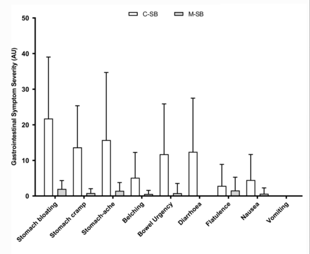
There was already some evidence for this part of the story. Back in February, researchers Lewis Gough and Andy Sparks published data in Sports Medicine – Open looking only at the gastrointestinal symptoms triggered by different forms of baking soda. In a group of male cyclists, capsules of baking soda produced the usual range of GI symptoms, while the same dose of micro-pills in hydrogel had almost no effect. Here’s a comparison of the average severity of various symptoms, with capsules in white and Maurten in grey:

The new study extends these findings to an actual time trial. The 14 cyclists in the study did three 40-kilometer time trials: one for practice, one with Maurten baking soda, and one with a placebo that was designed to look and taste like Maurten but didn’t contain any baking soda. The data shows that, as expected, blood pH was increased in the baking soda condition (meaning it became less acidic). Most of the other variables were unchanged: heart rate was the same, perceived effort was the same, the pacing pattern was the same. But they could tolerate higher levels of lactate throughout the test—and, most importantly, they were faster.
There are two interesting nuances to point out. One is that the time trial took an hour. The usual assumption is that baking soda is most effective in events lasting between one and ten minutes, which generate the highest lactate levels. That’s where the strongest evidence is, though other studies—and anecdotes—have hinted that it would work at longer distances. The other is that the pacing was even: with baking soda, the cyclists were faster at the beginning, middle, and end of the trial by similar amounts. One idea was that baking soda might help in longer events, but only for the finishing sprint. These results suggest instead that it makes you faster throughout.
This isn’t the end of the story, of course. Shannon’s study is a comparison of Maurten versus nothing. Before forking out the big bucks, you might want to see a comparison of Maurten versus other cheaper forms of baking soda. That makes it trickier to design a blinded study, because the Maurten formulation is so distinctive that you’ll know whether you’re taking a hydrogel or a capsule or a spoonful of Arm and Hammer. There are also lingering questions about optimal dosage (the study used 0.3 grams per kilogram of body weight) and timing (which was individualized based on blood tests to determine the peak response time, with a typical delay of roughly two hours between ingestion and time trial).
There are two ways this can go. One is that baking soda, in its newly digestible form, becomes as ubiquitous as caffeine for endurance athletes. The other is that it goes the way of previous supplement frenzies like ketones and beet juice: not entirely discredited, but more of novelty than a necessity despite initially promising scientific data. In Paris, I watched another batch of newly crowned champions swear by it: triathlete Alex Yee, mile superstar Faith Kipyegon, along with Cheptegei, Hodgkinson, and others. But before we anoint baking soda as the new caffeine, we’re going to need more studies.
For more Sweat Science, join me on Threads and Facebook, sign up for the email newsletter, and check out my book Endure: Mind, Body, and the Curiously Elastic Limits of Human Performance.